粘度或流動阻力
術語“粘度”描述了從一個物理學家的角度材質的屬性。它是流體的厚度。科學地講,它是一種流體的內部流動阻力的量度,對變形的阻力。該兩板塊模型 數學描述了這個定義。
流體的粘度通過粘度測定法,這是一種更廣泛的科學稱為流變的一部分來確定。流變又是一部分流變學,材料的“流動行為和變形的科學。所有材料范圍上一個虛構的規模從固體到液體。在科學術語,固體材料被指定為有彈性,而液體是粘性。然而,大部分的材料都沒有純粹的彈性,也不完全是粘稠的,但粘彈性。根據其性質,物質可以被分類為粘彈性的固體(例如像凝膠)或粘彈性液體(例如像頭發香波)。
									
從液體到固體物質
與理想的粘度測定法涉及的粘性流體具有一定的局限性- - ,并且還與粘彈性的液體,即粘性物質用的彈性部。如果流體容易流動,其變形阻力變低。它是一種低粘度的流體。與變形阻力較大的流體不容易流動。它們是高度粘性的。
											
在相同溫度下的高粘度流體流動比低粘度流體更慢。
雙板型
該模型包括與流體在之間的兩個假想的板。兩個條件必須滿足,以允許粘度有關的變量的精確計算。
流體附著到兩個板,并且不滑動或沿其滑動。
有層流條件。這意味著流接受無窮薄層的形狀,沒有湍流-即旋渦-發生。啤酒墊的堆疊給出了層流是如何工作的一個好主意。
											
雙板模型 - 層流以無窮薄層的形狀
剪應力
而下板靜止,上板很緩慢移動沿。甚**慢運動引起的應力平行于流體的表面和被稱為剪切應力。
剪切應力被定義為力F施加到由該板的面積為A除以上板的力在牛頓測量,以平方米的面積。剪切應力牛頭力除以面積。這一計算結果在單位牛頓/米2帕斯卡后,這就是所謂帕斯卡[帕]。
									
											
定義剪切應力
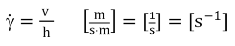
剪切率
可從兩板模型中導出的第二個變量為剪切速率伽瑪點。在舊文獻剪切速率有時給定為D.
以獲得的剪切速率,在上板的速度v,以每秒米,由距離h在兩個板之間以米劃分。這使在單元[1 /秒]或倒數第二[秒-1 ]。
								
											
定義剪切速率
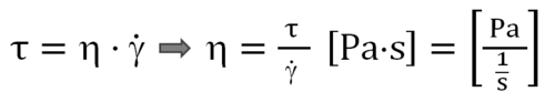
牛頓定律和動力粘度
牛頓定律指出,剪切應力剪切速率倍粘度。因此,通過剪切速率除以剪切應力是粘度,這是考慮了變量η'埃塔'。這個簡單的關系適用于牛頓流體只。
									
從牛頓定律,我們得到的動態粘度,但是這僅是幾個之一類型粘度。
典型的藥物及其粘度值
動態粘度值-托馬斯G.梅茨格“流變學手冊”,3個數據次修訂版,頁。28,表2.3 -與引用